1. INTRODUCTION
Urban expansion has a severe impact on densely populated areas (Ng et al., 2012; Grădinaru et al., 2023), altering biophysical and socioeconomic conditions (Rahimi & Nobar, 2023; Velea & Bojariu, 2018), including the impact of urban green infrastructure (Grădinaru et al., 2023). Thus, it contributes to the rise of urban densities and the intensification of urban heat islands. These challenges threaten the urban environment and increasingly affect city inhabitants' physical and mental well-being (Huang et al., 2020). Consequently, there is an urgent need to implement measures to enhance the livability of urban areas, improve thermal comfort, and promote urban sustainability (Raymond et al., 2017). It is important to note that this study focuses specifically on air temperature as a key factor in assessing urban thermal comfort without considering land surface temperature (LST).
1.1. Conceptual Prioritization of Nature-Based Solutions over Green Infrastructure
Although green infrastructure (GI) and nature-based solutions (NBS) are often used interchangeably in urban climate discourse, a careful distinction between them is essential for conceptual clarity and methodological precision. Both frameworks aim to enhance urban resilience and ecological functionality by integrating vegetation and natural systems into urban design (Artmann et al., 2019a). However, they differ in scope, policy framing, and theoretical grounding.
Green infrastructure traditionally refers to the strategically planned network of green spaces that provide ecosystem services such as cooling, stormwater management, and biodiversity support (Benedict et al.,2006). It is rooted in land-use planning and ecological engineering and is generally concerned with the physical configuration of vegetated elements.
Nature-based solutions, by contrast, represent a broader and more integrative paradigm encompassing ecological, social, and institutional dimensions (Cohen-Shacham et al., 2016; Frantzeskaki et al., 2019). NBS are not limited to spatial interventions but include governance models, participatory approaches, and co-benefit strategies to address societal challenges such as climate change, public health, and equity (Nesshöver et al., 2017; Raymond et al., 2017).
While GI can be considered a subset of NBS, focusing mainly on the infrastructural and spatial implementation of green elements, NBS emphasize multifunctionality, stakeholder involvement, and alignment with broader sustainability goals (Kabisch et al., 2016). For this reason, and given the study’s focus on enhancing thermal comfort through ecologically and socially embedded strategies, the term Nature-Based Solutions is adopted as the overarching framework throughout this research. Green infrastructure components such as green roofs, vertical greenery, and urban tree systems are thus interpreted as spatial manifestations of the broader NBS framework.
This distinction allows the study to align with international policy trajectories such as the EU Biodiversity Strategy and the UN Decade on Ecosystem Restoration, where NBS are positioned not only as environmental interventions but also as transformative tools for inclusive, climate-adaptive urban futures (He & Reith, 2023) (Figure 1).

1.2. Based Solutions
1.2.1. Enhancing Thermal Comfort through Nature-Based Solutions:
Nature-based solutions require a holistic approach that integrates ecological, social, and economic benefits, ensuring multifunctionality and stakeholder engagement in urban regeneration projects (Panzaru et al., 2020). Research indicates that these measures can yield a cooling effect of approximately 1–2°C in terms of air temperature at the urban scale when applied across an entire city (Milošević et al., 2023). However, in microclimatic studies at the local scale, such as the present research, the magnitude and spatial extent of the cooling effect may vary based on proximity to green infrastructure and urban geometry. These solutions alleviate urban climate impacts and improve outdoor thermal comfort by reducing local air temperature by up to 2–3°C near green infrastructure (Randelović et al., 2023). Additionally, incorporating green elements such as laws, trees, and green walls within urban landscapes can further enhance thermal comfort by reducing the Universal Thermal Climate Index (UTCI) by over 8°C, which reflects the combined effects of air temperature, humidity, wind, and radiation on human thermal comfort (Cascone & Leuzzo, 2023). The combination of urban design and vegetation holds promise for effectively mitigating heat stress and enhancing overall thermal comfort conditions within dense urban environments (Zheng et al., 2023).
1.2.2. Investigating the Cooling Effects of Vertical Green Infrastructures
Previous studies have demonstrated the cooling effects of vertical green infrastructures, such as green façades and living walls. Extensive research has further highlighted significant reductions in surface temperatures. For instance, Ottelé & Perini (2017) recorded a decrease of up to 8.4°C on wall surfaces. In contrast, other studies that report temperature reductions of up to 30°C (e.g., Victorino et al., 2015) pertain to surface temperature changes, not ambient air temperature, and often describe isolated façade behavior rather than integrated urban microclimate effects.
Compared to other methods, the decrease in air temperature around vertical greenery is usually less pronounced, yet it still offers valuable benefits. For example, Daemei et al., (2018) observed a maximum air temperature reduction of 0.75°C within 0.5 m from green walls in semi-arid climates, reflecting a localized cooling effect. This aligns with the scope of the current study, which similarly evaluates local-scale microclimatic impacts of nature-based solutions. Coma et al. (2017) reported a decrease in building energy consumption of 58.9% for living walls and 33.8% for green façades during warm seasons, illustrating indirect cooling benefits. Further investigations (Koch et al., 2019; Zhang et al., 2019; Yin et al., 2017) highlight the importance of plant morphological features (e.g., leaf density, thickness) in determining cooling potential.
1.2.3. Assessing the Cooling Potential of Green Roofs in Urban Environments
Green roofs have also been studied for their cooling capabilities. Both in terms of air temperature and surface temperature reductions. Although surface temperature reductions are often more pronounced, this study focuses on air temperature improvements as a key factor in urban thermal comfort. Schindler et al., (2019) found that green roofs planted with Sedum species improve thermal comfort by reducing air temperature by approximately 1.5°C compared to roofs planted with annual species, while roofs without any vegetation exhibited up to 7°C higher surface temperatures under similar conditions. Dong et al., (2020) demonstrated that a 1000 m² increase in green roof area leads to an average reduction of 0.4°C in surface temperature at a broader urban scale. Although informative, such findings pertain to city-wide applications. In contrast, the present study focuses on localized cooling effects within street canyons, and within a 1000 m radius, the presence of green roofs results in a measurable cooling effect on the surrounding air, reducing air temperature by approximately 0.91°C compared to areas without green roofs. Additionally, Ávila-Hernández et al. (2020) showed that green roofs contribute to building energy efficiency by lowering indoor air temperatures by up to 4.7°C. However, this internal cooling effect is beyond the primary scope of this study. Berardi (2016) emphasized that increasing green roof plants' leaf area index (LAI) can reduce daytime air temperatures by 0.4°C, enhancing outdoor thermal comfort more effectively than traditional roof coverings. Jin et al. (2018) found that the most significant air temperature reduction (up to 0.5°C) occurs when green roofs are implemented in enclosed urban configurations. Although this indicates potential in dense neighbourhoods, their analysis remains at a broader spatial level compared to the street-level resolution used in this study. Furthermore, Alcazar et al. (2016) evaluated both green roofs and urban forests in a Mediterranean-continental climate. They concluded that green roofs play an important role in enhancing microclimatic conditions, including modest reductions in air temperature and improvement of urban thermal comfort. It is therefore crucial to distinguish between studies assessing the city-wide thermal impact of green infrastructure and those that examine localized microclimatic modifications. This manuscript is situated within the latter category, aiming to determine the fine-scale thermal performance of different green infrastructure configurations using high-resolution microscale simulation.
1.3. Advanced Microclimate Analysis: ENVI_MET and Rayman Software
ENVI_MET Software, utilizing micrometeorological fluid dynamics modeling, ENVI_MET software assesses the impact of various vegetation arrangements on outdoor thermal comfort (OTC). It considers crucial factors such as air temperature, relative humidity, wind speed, and direction, enabling comprehensive evaluations of environmental conditions (Amores et al., 2023). With its high simulation accuracy, ENVI_MET provides detailed representations of construction features, surface materials, vegetation types, and atmospheric interactions, offering spatial precision down to 0.5 meters and a temporal resolution of 10 seconds for precise microclimate simulations (Morakinyo et al., 2017).
A distinguishing feature of ENVI_MET is its incorporation of plant characteristics, including branch and leaf type and density, evaporation, transpiration, photosynthesis, and energy exchange. This enables dynamic and active plant simulation, enhancing the understanding of the microclimatic effects of vegetation (Morakinyo et al., 2018).
Rayman Software, specializing in modeling radiation flux in three dimensions, Rayman analyzes its properties and spatiotemporal variations under diverse environmental conditions (Acero & Herranz-Pascual, 2015). Particularly effective in simulating radiation flux, Rayman proves valuable for microclimatic assessments in complex urban settings with varied physical attributes (Sodoudi et al., 2018). Rayman calculates the Physiologically Equivalent Temperature (PET) by utilizing data generated by ENVI_MET, including air temperature (Ta), relative humidity, mean radiant temperature (Tmrt), and wind speed. PET represents the temperature in a complex outdoor environment that balances the heat budget within the human body, considering factors such as environmental radiation. PET computations rely on the Munich Energy-balance Model Individuals (MEMI) to simulate physiological conditions and calculate human body temperature (Höppe, 1999; Morakinyo et al., 2018; Morakinyo & Lam, 2016).
Currently, studies are scarce on how using NBS for regreening and rewilding urban environments might solve challenges such as climate change, biodiversity loss, and resource depletion. These strategies develop urban resilience while promoting biodiversity, providing ecosystem services, and improving the urban microclimate (Lehmann, 2021; Basarin et al.,2014). According to research by He & Reith (2023), vegetation, as part of NBS, can effectively reduce wind speed and lower the rate of change in the mean radiant temperature, thereby enhancing thermal comfort. Furthermore, employing green roofs, walls of greenery, and other nature-based initiatives can improve the overall urban environment.
This research focuses on densely built urban areas characterized by compact constructions and limited open spaces rather than exclusively addressing street canyon configurations. NBS, often incorporating elements of green infrastructure (GI), is increasingly recognized as a comprehensive strategy for enhancing environmental comfort in challenging urban environments by mitigating air pollution and reducing urban heat island effects (Artmann et al., 2019a).
Among the typologies within NBS, interventions such as green roofs and vegetated open spaces are particularly notable for their potential to regulate urban air temperatures and promote well-being. Recent research highlights that NBS can significantly reduce urban temperatures and mitigate urban heat island hotspots, especially in densely built-up areas (Fernández & Navarro, 2024). Although specific GI elements within NBS—such as street trees, green walls, or roofs—have demonstrated potential for improving urban microclimates and thermal comfort, existing research often fails to address the synergetic performance of integrated NBS configurations, indicating a critical need for broader and more integrated studies (Sanusi, 2022).
Based on these gaps, this study aims to assess the cooling performance of diverse NBS typologies, individually and in combination, and their role in improving microclimate and thermal comfort in densely built environments.
To achieve this aim, the research addresses the following questions:
- How do various types of urban green infrastructure affect thermal comfort in densely populated areas?
- In what ways does the composition of green infrastructure contribute to enhancing thermal comfort in densely populated areas?
2. MATERIALS AND METHODS
2.1. Study area
The study area encompasses a section of Modares Street leading to the northern part of Haft Tir Square in Tehran, the capital of Iran (Figure 2). Positioned at Latitude 39.52° N, Longitude 54.26° E, and an altitude of 1189 m above sea level, Tehran experiences a maximum temperature typically reaching 30 °C, with peaks observed in July and September. The annual rainfall is approximately 200 mm, and the city's climate is cold and semi-arid (Daemei et al., 2018). The vegetation cover along Modares Street is sparse, with only a few small trees in the central median and limited vegetation on either side of the street. The surrounding buildings range in height from 10 to 20 meters and are primarily utilized for commercial and retail purposes, contributing to the high population density of the neighborhood. The simulations were conducted on July 16, 2020, one of the year's hottest days. Meteorological data for the simulation, including the lowest and highest air temperature, relative humidity, wind speed, and wind direction, were gathered from the local Geophysics meteorological station (Table 1). The land surface temperature was assessed using Landsat 8 satellite images. Figure 3 depicts the surface temperature on July 16, 2020, in Tehran, illustrating the urban heat island effect due to a lack of vegetation cover in the research location.


|
Table 1. Model inputs. |
|
|
Variable |
Value |
|
Longitude, Latitude |
54°26′E, 39°52′N |
|
Horizontal grid resolution |
4 m × 4m |
|
Vertical grid resolution |
4 m |
|
Simulation date |
16.07.2020 |
|
Start simulation time |
06:00 |
|
Total simulation time |
14 h |
|
Minimum Ta |
25.4 °C |
|
Maximum Ta |
31.3 °C |
|
Minimum relative humidity |
25 % |
|
Maximum relative humidity |
42 % |
|
Wind speed at 10 m |
2.0 m/s |
|
Wind direction |
200° |
|
Wind speed at 10 m |
4.7 m/s |
|
Wind direction |
110° |
2.2. Model Validation
Previous studies have verified the ENVI-met model by comparing simulated and measured values (Rahimi & Nobar.,2023; Forouzandeh, 2018), which was also used in this study. Two points suitable for instrument placement (V01, V02) were selected. At point V01, relative humidity and Ta were measured using a Digital Temperature and Humidity Meter – HTC 1 with an accuracy of ±1 °C for Ta and ±5% for relative humidity, while at point V02, Ta was measured using a data logger model Mic 98581 with an accuracy of ±0.6 °C for Ta (measurement period 9:00-16:00). Subsequently, the study area was simulated using the ENVI-met model on the measurement day, July 16, 2020, and Ta and relative humidity values at the validation points were extracted. Comparison of simulated Ta and relative humidity values with measured values utilized the coefficient of determination (R2) and Root Mean Square Error (RMSE). Previous studies have shown RMSE values ranging from 0.26 to 4.83 and R2 values between 0.52 and 0.96 (López-Cabeza et al., 2018). The comparison results for relative humidity at validation point V01 showed an RMSE of 2.12 and R2 of 0.91. In contrast, for Ta at validation point V01, an RMSE of 0.65 and R2 of 0.95 were observed, and at validation point V02, an RMSE of 0.57 and R2 of 0.96 were recorded, indicating the validity of the ENVI-met model.
2.3. Scenario design
The study examined the impact of green infrastructure on thermal comfort using five NBS-based scenarios. The scenarios were based on the current situation and included a variety of urban green infrastructure, including the tree-green wall, tree-green roof, green wall-green roof, and tree-green wall-green roof. All scenarios made use of deciduous plants. Furthermore, the area allocated to each scenario's infrastructure is uniform, allowing for the calculation of the horizontal and vertical dimensions of the plants as specified in the ENVI-met model. In the central segment of the street, there was a continuous presence of trees and grass vegetation, maintaining consistency across all scenarios. In addition, four receptor sites were purposefully selected to investigate micrometeorological variables and thermal comfort. These points were positioned to cover the street's east, west, north, and south directions, ensuring that their spacing matched the extent of green infrastructure in all scenarios (Figure 4, Table 2). All thermal variables (Ta, Tmrt, and PET) were evaluated at a height of 1.2 meters, corresponding to the typical breathing zone and the average height of the human body’s center of mass. This standard height is widely adopted in outdoor thermal comfort studies to simulate realistic pedestrian exposure conditions (Emmanuel & Johansson, 2006).

|
Table 2. Description of Scenarios for Urban Thermal Comfort Assessment |
||||
|
Code |
Green Infrastructure Type |
Combination of Elements |
Plant Type and Characteristics |
Description |
|
S0 |
Current situation (No Green Infrastructure) |
None |
None |
To compare the effects of all NBS scenarios, a reference scenario representing the current situation without any green elements was used. |
|
S1 |
Trees + Green Wall |
Street trees combined with green walls on facades |
Deciduous plants (using ENVI-met default database) |
Trees line both sides of the street; green walls are applied vertically on adjacent building facades |
|
S2 |
Trees + Green Roof |
Street trees combined with green roofs on buildings |
Deciduous plants (using ENVI-met default database) |
Trees in the street center; green roofs on all adjacent building rooftops |
|
S3 |
Green Wall + Green Roof |
Green walls and green roofs combined, without trees |
Deciduous plants (using ENVI-met default database) |
Vertical and horizontal greenery applied to building facades and rooftops; no trees present |
|
S4 |
Trees + Green Wall + Green Roof |
Integrated use of trees, green walls, and green roofs |
Deciduous plants (using ENVI-met default database) |
A combination of trees, vertical greenery (walls), and horizontal greenery (roofs) applied simultaneously |
|
Note: Current situation: This is a reference point for evaluating and comparing all other scenarios' thermal and microclimatic impacts. |
||||
All scenarios incorporate deciduous vegetation selected from ENVI-met’s default plant database, which ensures standardized modeling of plant characteristics (e.g., foliage density, transpiration capacity, and seasonal behavior). Exact species selection and precise heights are based on ENVI-met default parameters for deciduous trees and green infrastructure, ensuring modeling consistency. The area and dimensions of green infrastructure elements (trees, walls, and roofs) are kept uniform across all scenarios to ensure a fair comparison. While exact plant species are not specified, typical urban-suitable deciduous vegetation settings available within ENVI-met have been applied. Across all scenarios, a continuous strip of trees and grass is preserved in the central segment of the street to maintain spatial consistency. To monitor microclimatic variables and thermal comfort, four receptor points were strategically positioned around the street (east, west, north, and south), aligned with the extent of green infrastructure elements in each scenario.
3. RESULTS
The Leonardo tool analyzed the results of the scenarios simulated by the ENVI-met model. Micrometeorological conditions and thermal comfort were evaluated by comparing Ta, Tmrt, and PET, which were extracted by the Rayman model in the current situation with each scenario. Each scenario consisted of a combination of urban green infrastructure: trees, green walls, and green roofs. Four receptors evaluated thermal comfort and micrometeorological indexes at a height of 1.2 m from 9:00 to 17:00.
3.1. Outdoor thermal comfort
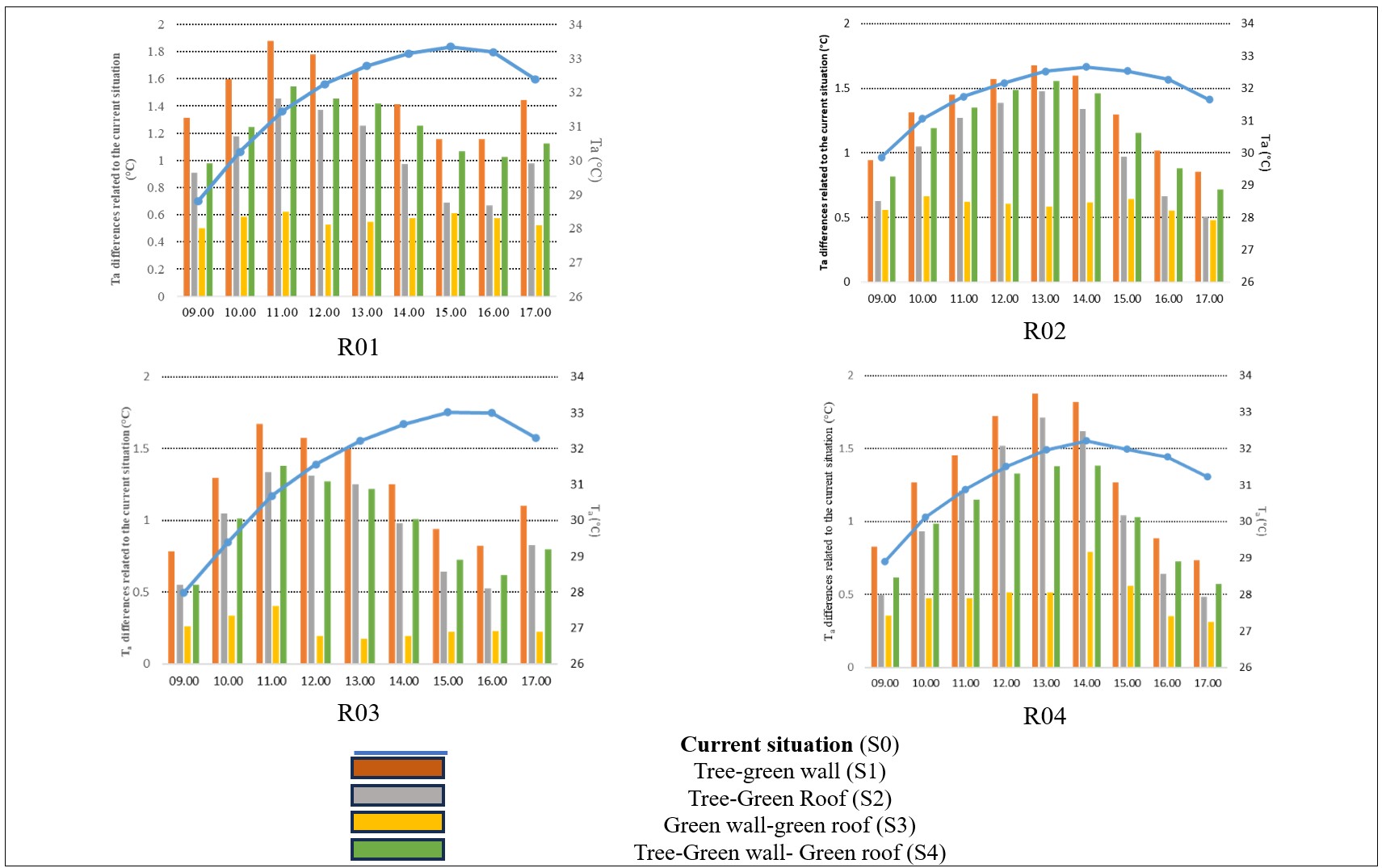
The Ta simulation results revealed that the mean Ta at the receptors between 9:00 and 17:00 in the current circumstance is 31.2–32 °C, while the mean Ta in all four other situations was less (Table 2). Therefore, the high temperature in the current condition is due to the lack of green space, and urban green infrastructure effectively reduces the temperature in the urban canyon. The tree-green wall scenario had the best cooling performance among the urban green infrastructure combinations, with an average Ta of 29.9–30.5 °C, while the green wall-green roof scenario had the lowest cooling performance, with a mean Ta of 30.7–31.4 °C. The tree-green wall scenario significantly decreased Ta at 13:00 in the R04 receptor by 1.8 °C. (Figure 5- Figure 6). The other two scenarios, tree-green wall-green and tree-green roofs, immediately improved thermal comfort.


In a broader analysis, the findings indicate that scenarios incorporating trees exhibit superior cooling capabilities, whereas those with green roofs demonstrate comparatively weaker cooling performance. Trees significantly reduce air temperature (Ta) by providing shade and blocking direct short-wave radiation. Similarly, green walls lower Ta through evapotranspiration and mitigate solar radiation absorption on vertical surfaces. Consequently, combining a green fence with trees presents a more effective cooling strategy than their combination with a green roof, which yields a less pronounced cooling effect. The inferior cooling performance of green roofs can be attributed to their elevated position relative to pedestrian levels, resulting in limited shading effects. Their cooling efficacy primarily depends on evapotranspiration and the reduction of solar radiation absorption on roof surfaces.
The air temperature (Ta) evaluation across various canyon sections revealed distinct cooling effects depending on the scenario. Expressly, in the green wall-green roof scenario, the cooling impact was limited to the immediate vicinity of the green infrastructure, with no significant decrease in Ta observed in more distant areas, particularly in the canyon's central region. However, the other three scenarios demonstrated a broader cooling effect, extending to the farther and central parts of the canyon due to urban green infrastructure. Notably, all three scenarios featured trees, combining trees and green walls to exhibit the most effective Ta reduction across street canyons to enhance micrometeorological conditions. One key factor contributing to trees' higher cooling potential compared to green roofs and walls is their shading effect on both vertical and horizontal surfaces, reducing solar radiation absorption on these surfaces.
3.2. Human thermal comfort
Table 3 demonstrates the average Physiologically Equivalent Temperature (PET) values for the current situation and various scenarios across four receptors, averaged from 9:00 to 17:00 at a height of 1.2 meters. Comparing these mean values reveals that although all four scenarios reduced the PET index compared to the current situation, the green wall-green roof scenario exhibited weak performance in enhancing thermal comfort, with mean PET values ranging from 40.1 to 44.9°C. Despite the micrometeorological effects of green walls and roofs, such as evapotranspiration and solar radiation blockage on vertical and horizontal surfaces, they have a limited impact on shading within the canyon, leading to the observed weak performance of this combination in PET reduction. On the other hand, the tree-green wall scenario, with a mean PET of 35.1 to 36.8°C, demonstrated the most substantial cooling effect, followed closely by the tree-green wall-green roof and tree-green roof scenarios, with a slight difference. Notably, the tree-green wall scenario achieved a maximum PET reduction of 15.3°C compared to the current situation at 14:00 in the R04 receptor. These findings highlight the superior cooling potential of trees, attributed to their effective shading and reflection of direct shortwave radiation, emphasizing that scenarios incorporating trees outperformed those with green roofs in improving thermal comfort.
The thermal comfort assessment within the street canyon, including the influence of mean radiant temperature (Tmrt) on the Physiologically Equivalent Temperature (PET), was conducted across different scenarios and current conditions. Table 4 presents the average Tmrt values at a height of 1.2 meters from 9:00 to 17:00 across four receptors. The findings revealed that the current situation exhibited the highest mean Tmrt values, ranging from 59.1 to 65.6 °C. These elevated Tmrt values indicate intense sunlight and a lack of shading within the canyon. Green infrastructure that offers increased shading showed higher effectiveness in reducing the average radiation temperature. Specifically, the tree-green wall scenario demonstrated the most effective performance with a mean Tmrt of 45.1 to 48.8 °C. In contrast, the green roof-green wall scenario exhibited the weakest performance with an average temperature of 54.0 to 64.1 °C (Table 4, Figure 7). Scenarios combining green walls and roofs, including limited shading effects, showed lesser effectiveness in reducing Tmrt than scenarios incorporating trees within the green infrastructure. Additionally, the considerable distance between green roofs and pedestrian levels resulted in a lesser impact on reducing Tmrt than scenarios combining trees with green walls. In conclusion, scenarios combining multiple urban green infrastructures with substantial shading and shortwave radiation blocking exhibited superior performance in enhancing human thermal comfort within the street canyon.
|
Table 3. Mean PET (°C) values averaged over 9:00-17:00 at a height of 1.2m. |
|||||
|
Receptors |
Current situation(S0) |
Tree-Green wall(S1) |
Tree-Green roof(S2) |
Green wall-green roof(S3) |
Tree-Green wall-green roof(S4) |
|
R01 |
42.5 |
36.4 |
37.0 |
41.8 |
36.8 |
|
R02 |
42.7 |
35.4 |
36.0 |
41.8 |
35.8 |
|
R03 |
45.6 |
36.8 |
37.3 |
44.9 |
37.4 |
|
R04 |
42.8 |
35.1 |
35.7 |
40.1 |
35.5 |
|
Table 4. Mean Tmrt (°C) values averaged over 9:00-17:00 at a height of 1.2m. |
|||||
|
Receptors |
Current situation(S0) |
Tree-Green wall(S1) |
Tree-Green roof(S2) |
Green wall-Green roof(S3) |
Tree-Green wall-Green roof(S4) |
|
R01 |
60.2 |
48.8 |
49.8 |
58.8 |
49.6 |
|
R02 |
59.1 |
45.1 |
46.2 |
57.8 |
45.9 |
|
R03 |
65.6 |
48.8 |
49.8 |
64.1 |
49.6 |
|
R04 |
59.1 |
45.1 |
46.6 |
54.0 |
45.9 |
4. DISCUSSION
4.1. The Impact of Various Types of Urban Green Infrastructure on Thermal Comfort in Densely Populated Areas
The study examined how various types of urban green infrastructure affect thermal comfort in densely built urban areas, where open spaces are limited and the urban heat island effect is intensified. The results indicate that different Urban Green Infrastructure types, such as green roofs, walls, and trees, have varied impacts on improving microclimate and human thermal comfort, which aligns with findings from studies such as Wu et al. (2024) and Wang et al. (2024). Recent advancements in remote sensing techniques have further emphasized the significance of small-scale urban green areas. Using high-resolution (3 m) PlanetScope imagery and GEOBIA-based time series analysis, Popa et al. (2022) successfully identified and evaluated the quality of minor green patches in dense urban fabrics. These methods provide accurate spatial insights, essential for identifying potential sites for implementing green infrastructure where land availability is limited. Among the evaluated scenarios, the tree-green wall combination demonstrated the most substantial cooling effect, significantly reducing UTCI values at all receptor points. This finding is consistent with previous research, emphasizing the superior cooling potential of tree and vertical green infrastructure combinations in densely built urban environments (Herath et al., 2018; Zölch et al., 2016). This outcome aligns with previous studies that have highlighted the superior performance of trees and vertical greenery (e.g., green walls) in reducing urban heat and enhancing outdoor comfort (Gromke et al., 2015; Herath et al., 2018; Zölch et al., 2016). This effect is primarily due to shading and enhanced evapotranspiration, which is especially crucial in dense urban environments where direct radiation and heat accumulation in built surfaces are problematic. The significant effect of these elements can be attributed to their dual capacity to provide shading and enhance evapotranspiration, a feature emphasized by previous studies on green infrastructure (Elsadek et al., 2024). These processes are essential in compact urban environments where direct radiation and heat storage in built surfaces exacerbate the effect of urban heat islands (Meili et al.,2020). Although green roofs also improved thermal comfort by lowering roof surface temperatures and slightly reducing air temperatures, their cooling effect was less pronounced than tree-based or wall-integrated greenery. This is consistent with studies indicating that green roofs primarily affect surface temperatures and provide limited shading at the pedestrian level, making them less effective in densely built urban areas (Mihalakakou et al., 2023). This limitation can be attributed to the lack of direct shading at the pedestrian level, especially in dense urban fabrics where vertical and horizontal layers of greenery are needed for effective microclimate regulation. Previous research has also pointed out that green roofs, while beneficial, are less effective in providing shading and cooling at the ground level, which is crucial for human comfort in urban spaces. Therefore, green elements' spatial arrangement and structural diversity (e.g., vertical walls vs. rooftop greenery) are critical to their overall performance in enhancing thermal comfort (Li et al.,2024). Furthermore, this study confirms that integrating multiple forms of green infrastructure, rather than relying on singular solutions, yields higher cooling potential and more substantial improvements in thermal comfort, supporting recent evidence that combined NBS can effectively mitigate urban heat islands and improve urban microclimates (Irfeey et al., 2023; Jain et al., 2023). These findings align with recent evidence that Nature-Based Solutions (NBS), when applied in diverse forms — such as trees, green walls, green roofs, and shaded spaces — act synergistically to mitigate urban heat islands effects and foster more comfortable urban microclimates (Irfeey et al., 2023; Jain et al., 2023; Turhan et al., 2023). Moreover, increasing vegetation cover across urban environments, including trees, shrubs, and gardens, has proven effective in lowering ambient temperatures and reducing the intensity of urban heat islands (Eslamirad et al., 2023; Hu et al., 2023).
Globally, the application of NBS through different green infrastructure types has gained momentum and has been incorporated into urban planning policies as an effective strategy for sustainable urban development, not only by mitigating heat stress but also by reducing energy demands and enhancing outdoor comfort for city dwellers (Jayakaran et al., 2023). In addition to physical cooling performance, the perceived accessibility and social experience of green spaces also influence their effectiveness. A case study in Bucharest by Stoia et al. (2022) found that walking and cycling routes to parks were strongly shaped by demographic factors such as age, income, and family status. These findings underline the need to design green infrastructure for environmental performance and equitable access and experiential quality across different user groups. Nevertheless, the current study demonstrates that combinations involving trees and green walls offer the most efficient cooling performance, supporting earlier research that identified trees and vertical greenery as superior to green roofs when addressing urban heat in dense environments (Herath et al., 2018; Zölch et al., 2016). Thus, this research highlights that designing integrated and multi-layered green infrastructure is necessary to improve thermal comfort in densely built areas effectively, emphasizing vertical and horizontal greenery synergy to maximize shading, evapotranspiration, and temperature regulation.
4.2. The Role of Green Infrastructure Composition in Enhancing Thermal Comfort in Densely Built Urban Environments
Improving thermal comfort modeling in densely built urban environments involves accurately assessing various urban green infrastructure types and their collective role in enhancing microclimate conditions. Nature-based solutions (NBS) such as green roofs, green walls, and street trees have gained significant attention due to their capacity to mitigate urban heat island effects and improve the thermal comfort of urban areas.
Recent advances in modeling thermal comfort have demonstrated the importance of refining mean radiant temperature (Tmrt) calculations for more precise simulations. In this regard, tools like ENVI-met and RayMan have evolved significantly, enabling improved shading, radiation simulations, and urban obstacles' effects on thermal comfort. For instance, six-directional radiative flux and shortwave radiation projection factors incorporated into ENVI-met have enhanced the accuracy of thermal comfort assessments by allowing for detailed evaluations of shading patterns and radiation exchanges between different Urban Green Infrastructure components (Sinsel et al., 2022; Yilmaz et al., 2021; Middel et al., 2023). Additionally, using RayMan for point analysis and SkyHelios for spatial assessments provides insights into shading effects, wind speed, and the influence of urban morphology on thermal comfort, such as the impact of trees and vegetation in mitigating mean radiant temperature (Matzarakis et al., 2021; Fröhlich et al., 2019).
The analysis reveals that combining different types of Urban Green Infrastructure leads to significant improvements in thermal comfort and microclimatic conditions. Notably, trees in street canyons have been found to provide substantial cooling effects, especially when combined with green walls. The tree-green wall scenario consistently outperforms others in reducing mean radiant temperature (Tmrt) and improving overall thermal comfort, as it leverages both horizontal shading (from trees) and vertical shading (from green walls). This combination effectively enhances evapotranspiration and reflects shortwave radiation, leading to cooler pedestrian environments (Aminipouri et al., 2019; Andreou, 2014; Milosevic et al., 2017; Morakinyo & Lam, 2016; Park et al., 2019; Shashua-bar et al., 2012; Unal et al., 2018; Yang et al., 2018). Complementary to this, a study by Kim et al (2024) used ENVI-met coupled with Urban Building Energy Modeling (UBEM) to simulate how integrated planning of high-rise buildings and green spaces in Seoul affected thermal comfort and energy use. The findings showed that such integration led to a 0.94 °C decrease in air temperature and a 1.80% reduction in energy consumption, indicating that urban form and vertical structure can enhance the performance of green infrastructure under extreme climate conditions. On the other hand, green roofs, while beneficial in cooling building surfaces and reducing urban heat island effects, are less effective at improving pedestrian-level thermal comfort than tree-green wall combinations. This is due to the limited shading impact of green roofs, which primarily affects building façades rather than street-level microclimates. Therefore, the composition of green infrastructure—particularly the vertical layering of trees and green walls—emerges as a more efficient strategy for enhancing thermal comfort in densely populated areas where space is limited and vertical integration is key.
Studies have shown that ENVI-met is highly effective for analyzing shading patterns and identifying optimal greenery configurations to improve mean radiant temperature (Tmrt) and, thus, thermal comfort. For example, Égerházi & Gál (2012) assessed thermal comfort in urban environments using ENVI-met, focusing on how land cover and vegetation impact human sensation. However, they did not directly compare their findings with RayMan, highlighting the need for multi-model approaches to capture the full range of urban green infrastructure impacts on thermal comfort (Ridha et al., 2018).
In summary, combining trees and green walls provides the most significant cooling effect among the evaluated green infrastructure scenarios, emphasizing the crucial role of vertical and horizontal green interventions in enhancing thermal comfort in dense urban environments. These infrastructures' composition and strategic placement are essential to mitigate the urban heat island effect, optimize shading, and improve thermal comfort in cities worldwide.
4.3. Study Limitations
While this study provides important insights into the role of urban green infrastructure (UGI) types, such as trees, green roofs, and green walls, in enhancing thermal comfort within dense urban environments, several limitations should be acknowledged. First, the simulations were conducted over a fixed daytime period using ENVI-met, limiting the analysis's temporal scope. Thermal comfort in urban settings is highly sensitive to diurnal and seasonal variations in solar radiation, humidity, and wind flow. Therefore, the findings may not fully represent long-term or extreme-event scenarios such as heatwaves. Future research would benefit from expanding the simulation timeframe (e.g., 24–48 hours) or incorporating seasonal simulations to capture better temporal variability and the full spectrum of thermal responses in diverse climatic conditions. Second, the study primarily assessed microclimatic effects at the pedestrian level but did not fully account for user mobility, behavioral responses, or green space accessibility—all of which are important for understanding real-world implications of thermal comfort. Recent studies emphasize the role of shaded walking routes, perceived safety, and socio-demographic factors in shaping how people interact with urban greenery (Russo, 2024). Integrating spatial behavior modeling and user-centered surveys could enrich the human dimension of future studies. Third, while ENVI-met allows detailed modeling of vegetation structure, it has inherent limitations in species-specific representation. This may affect the ecological realism of the cooling performance simulated for specific typologies. Future research should explore enhanced modelling tools or custom vegetation datasets to improve the accuracy of native-species performance assessment (Sarabi et al., 2023; Russo, 2024). Finally, although different UGI combinations were compared, the study did not employ remote sensing or spatial classification techniques that could support multi-scalar analysis of vegetation distribution across the urban matrix. High-resolution object-based remote sensing (e.g., GEOBIA using PlanetScope data) offers an opportunity to assess the spatial continuity, quality, and density of urban greenery—tiny and fragmented green spaces often overlooked in coarser simulations (Ren et al., 2022). Future work could combine remote sensing analysis with urban climate models to provide a more integrated and scalable evaluation framework.
5. CONCLUSION
Climate change and urban heat islands adversely affect street canyons, resulting in elevated energy usage and discomfort from heat. Introducing urban green infrastructure is proposed as a solution to mitigate heat stress and enhance micro-meteorological conditions. Various forms of urban green infrastructure, including trees, green walls, and green roofs, exhibit distinct cooling properties. This study aimed to assess the cooling efficacy of diverse combinations of urban green infrastructure, comparing them against the current environmental conditions. The findings indicated that all scenarios incorporating urban green infrastructure positively impacted micro-meteorological conditions and thermal comfort. Notably, street trees demonstrated superior cooling effects owing to their ability to provide shade, reduce mean radiant temperature (TMR), and reflect shortwave radiation. Combinations of trees and green walls exhibited the most effective cooling performance, whereas green walls and roofs showed limited effectiveness in restricting solar access. It is recommended that landscape architects integrate trees into their designs, with a preference for combining trees with green walls, particularly in areas with space constraints. Future research endeavours should focus on evaluating the cooling impact of combining various percentages of green infrastructure in diverse urban densities and canyons. Additionally, exploring the cooling potential of different plant species, shrubs, and intensive green roofs in combined scenarios is warranted.
REFERENCES
- Acero, J. A., & Herranz-Pascual, K., 2015. A comparison of thermal comfort conditions in four urban spaces by means of measurements and modelling techniques. Journal of Urban Building and Environment, 93, 245-257. https://doi.org/10.1016/j.buildenv.2015.06.028
- Alcazar, S. S., Olivieri, F., & Neila, J.,2016. Green roofs: Experimental and analytical study of its potential for urban microclimate regulation in Mediterranean–continental climates. Journal of Urban Climate, 17, 304–317.http://doi.org/10.1016/j.uclim.2016.02.004
- Aminipouri, M., Jensen, A., Krayenho, E. S., & Zickfeld, K., 2019. Modelling the impact of increased street tree cover on mean radiant temperature across Vancouver’s local climate zones. Journal of Urban Forestry & Urban Greening, 39, 9–17. http://doi.org/10.1016/j.ufug.2019.01.016
- Amores, T. P., Gutiérrez, M. M., Palma, R. M., Delgado, M. G., Ramos, J. S., & Domíguez, S. Á., 2023. Redefining human thermal perception for the Mediterranean climates. Journal of Urban Science Talks, 7, 100241. https://doi.org/10.1016/j.sctalk.2023.100241
- Anderson, V., & Gough, W. A., 2022. Enabling nature-based solutions to build back better—an environmental regulatory impact analysis of green infrastructure in Ontario, Canada. Journal of Buildings, 12(1), 61. https://doi.org/10.3390/buildings12010061
- Andreou, E., 2014. The effect of urban layout, street geometry and orientation on shading conditions in urban canyons in the Mediterranean. Journal of Urban Renewable Energy, 63, 587-596. https://doi.org/10.1016/j.renene.2013.09.051
- Artmann M., Kohler M., Meinel G., Gan J., Ioja I.C., 2019a. How smart growth and green infrastructure can mutually support each other — A conceptual framework for compact and green cities. Journal of Ecological Indicators 96: 10-22. https://doi.org/10.1016/j.ecolind.2017.07.001 Please cited in text 2019a
- Basarin, B., Kržič, A., Lazić, L., Lukić, T., Đorđević, J., Janićijević Petrović, B., ... & Matzarakis, A., 2014. Evaluation of bioclimate conditions in two special nature reserves in Vojvodina (Northern Serbia). Journal of Urban Carpathian journal of earth and environmental sciences, 9(4), 93-108.
- Benedict, M. A., McMahon, E. T., & Infrastructure, G., 2006. Linking Landscapes and Communities. Journal of Urban Land. Island Press.
- Berardi, U., 2016. The outdoor microclimate benefits and energy saving resulting from green roofs retrofits. Journal of Energy and buildings, 121, 217-229. https://doi.org/10.1016/j.enbuild.2016.03.021
- Cascone, S., & Leuzzo, A., 2023. Thermal comfort in the built environment: A digital workflow for comparing green infrastructure strategies. Journal of Atmosphere, 14(4), 685. https://doi.org/10.3390/atmos14040685
- Cohen-Shacham, E., Walters, G., Janzen, C., & Maginnis, S. ,2016. Nature-based solutions to address global societal challenges. IUCN: Gland, Switzerland, 97(2016), 2036.
- Coma, J., Pérez, G., de Gracia, A., Burés, S., Urrestarazu, M., & Cabeza, L. F., 2017. Vertical greenery systems for energy savings in buildings: A comparative study between green walls and green facades. Journal of Building and environment, 111, 228-237. https://doi.org/10.1016/j.buildenv.2016.11.014
- Daemei, A. B., Azmoodeh, M., Zamani, Z., & Khotbehsara, E. M., 2018. Experimental and simulation studies on the thermal behavior of vertical greenery system for temperature mitigation in urban spaces. Journal of Building Engineering, 20, 277-284. https://doi.org/10.1016/j.jobe.2018.07.024
- Dong, J., Lin, M., Zuo, J., Lin, T., Liu, J., Sun, C., & Luo, J., 2020. Quantitative study on the cooling effect of green roofs in a high-density urban Area—A case study of Xiamen, China. Journal of Cleaner Production, 255, 120152. https://doi.org/10.1016/j.jclepro.2020.120152
- Égerházi, L. A., & Gál, T., 2012. Assessment of the bioclimatic conditions of a popular play ground by the microclimate model Envi-Met. Acta Climatologica, 107.
- Elsadek, M., Nasr, A., Li, G., Gong, X., Hassan, A., & Deshun, Z., 2024. Urban Trees and Elderly Well-Being: Species-Specific Strategies for Thermal Comfort in Heat-Stressed Cities. Journal of Forests, 16(1), 55. https://doi.org/10.3390/f16010055
- Emmanuel, R., & Johansson, E., 2006. Influence of urban morphology and sea breeze on hot humid microclimate: The case of Colombo, Sri Lanka. Journal of Climate Research, 30(3), 189–200. https://doi.org/10.3354/cr030189
- Eslamirad, N., Sepúlveda, A., De Luca, F., Sakari Lylykangas, K., & Ben Yahia, S., 2023. Outdoor Thermal Comfort Optimization in a Cold Climate to Mitigate the Level of Urban Heat Island in an Urban Area. Journal of Energies, 16(12), 4546. https://doi.org/10.3390/en16124546
- Fernández, C. T., & Navarro, I. M., 2024. Analysis of the Impact of Urban Green Spaces on Mitigating the Urban Heat Island Effect. Journal of Innovation in Science and Technology, 3(3), 11-20. https://doi.org/10.56397/IST.2024.05.02
- Forouzandeh, A., 2018. Numerical modeling validation for the microclimate thermal condition of semi-closed courtyard spaces between buildings. Journal of Sustainable Cities and Society, 36, 327-345. https://doi.org/10.1016/j.scs.2017.07.025
- Frantzeskaki, N., McPhearson, T., Collier, M. J., Kendal, D., Bulkeley, H., Dumitru, A., ... & Pintér, L., 2019. Nature-based solutions for urban climate change adaptation: linking science, policy, and practice communities for evidence-based decision-making, Journal of BioScience, 69(6), 455-466. https://doi.org/10.1093/biosci/biz042
- Fröhlich, D., Gangwisch, M., & Matzarakis, A. (2019). Effect of radiation and wind on thermal comfort in urban environments-Application of the RayMan and SkyHelios model. Urban Climate, 27, 1-7. https://doi.org/10.1016/j.uclim.2018.10.006
- Grădinaru S.R., Paraschiv M., Ioja C.I., Vliet J.V., 2023. Conflicting interests between local governments and the European target of no net land take. Journal of Environmental Science & Policy: 142 1–11. https://doi.org/10.1016/j.envsci.2023.01.012
- Gromke, C., Blocken, B., Janssen, W., Merema, B., van Hooff, T., & Timmermans, H., 2015. CFD analysis of transpirational cooling by vegetation: Case study for specific meteorological conditions during a heat wave in Arnhem, Netherlands. Journal of Building and environment, 83, 11-26. https://doi.org/10.1016/j.buildenv.2014.04.022
- He, Q., & Reith, A., 2023. A study on the impact of green infrastructure on microclimate and thermal comfort. Journal of Pollack Periodica, 18(1), 42-48. https://doi.org/10.1556/606.2022.00668
- Herath, H. M. P. I. K., Halwatura, R. U., & Jayasinghe, G. Y., 2018. Evaluation of green infrastructure effects on tropical Sri Lankan urban context as an urban heat island adaptation strategy. Journal of Urban Forestry & Urban Greening, 29, 212-222. https://doi.org/10.1016/j.ufug.2017.11.013
- Höppe, P., 1999. The physiological equivalent temperature–a universal index for the biometeorological assessment of the thermal environment. Journal of Biometeorology, 43 (2), 71–75. https://doi.org/10.1007/s004840050118
- Hu, Y., Wang, C., & Li, J., 2023. Assessment of Heat Mitigation Services Provided by Blue and Green Spaces: An Application of the InVEST Urban Cooling Model with Scenario Analysis in Wuhan, China. Journal of Land, 12(5), 963. https://doi.org/10.3390/land12050963
- Huang, Z., Wu, C., Teng, M., & Lin, Y., 2020. Impacts of tree canopy cover on microclimate and human thermal comfort in a shallow street canyon in Wuhan, China. Journal of Atmosphere, 11(6), 588. https://doi.org/10.3390/atmos11060588
- Irfeey, A. M. M., Jamei, E., Chau, H. W., & Ramasubramanian, B., 2023. Enhancing occupants’ thermal comfort in buildings by applying solar-powered techniques. Journal of Architecture, 3(2), 213-233. https://doi.org/10.3390/architecture3020013
- Jain, S., Addya, A., & Goel, A., 2023. Quantification of Dynamic Ventilation Rates and Assessment of Occupant Thermal Comfort Inside a Naturally Ventilated Hostel Room During Wintertime in North India. In Asian Conference on Indoor Environmental Quality (pp. 103-117). Journal of Springer Nature Singapore. https://doi.org/10.1007/978-981-99-4681-5_11
- Jayakaran, A., Moore, T., & Bean, E., 2023. International Low Impact Development Conference 2023: Adaptation and Resilience for a Changing World. Journal of American Society of Civil Engineers. https://doi.org/10.1061/9780784485002
- Jin, C., Bai, X., Luo, T., & Zou, M., 2018. Effects of green roofs variations on the regional thermal environment using measurements and simulations in Chongqing, China. Journal of Urban Forestry & Urban Greening, 29, 223–237. http://doi.org/10.1016/j.ufug.2017.12.002
- Kabisch, N., Frantzeskaki, N., Pauleit, S., Naumann, S., Davis, M., Artmann, M., ... & Bonn, A., 2016. Nature-based solutions to climate change mitigation and adaptation in urban areas: perspectives on indicators, knowledge gaps, barriers, and opportunities for action. Journal of Ecology and society, 21(2).
- Kim, E. S., Bae, C., Ko, S. Y., Won, J. E., Lee, J. H., Paio, Y., & Lee, D. K. 2024. Enhancing the effectiveness of heat adaptation strategies through citizen science-based outdoor thermal comfort. Journal of Heliyon, 10(21). https://doi.org/10.1016/j.heliyon.2024.e3941
- Koch, K., Schade, G. W., Filippi, A. M., Goessler, G., & Güneralp, B. 2019. Low-Key Stationary and Mobile Tools for Probing the Atmospheric UHI Effect. In Spatial Variability in Environmental Science-Patterns, Processes, and Analyses. Journal of IntechOpen. https://doi.org/10.5772/intechopen.89514
- Lehmann, S., 2021. Growing biodiverse urban futures: renaturalization and rewilding as strategies to strengthen urban resilience. Journal of Sustainability. 2021; 13 (5): 2932. https://doi.org//10.3390/su13052932.
- Li, L., Cheng, J., Liu, Z., Li, Q., Lan, Y., Zhou, X., & Pang, Y., 2024. The Impact of Coverage Forms of Exterior Vertical Greening Walls on the Thermal Environmental Benefits of Buildings in Hot and Humid Regions. Journal of Buildings, 14(12), 3840. https://doi.org/10.3390/buildings14123840
- López-Cabeza, V. P., Galán-Marín, C. R. G. C. R. F. J., Rivera-Gómez, C., & Roa-Fernández, J.,2018. Courtyard microclimate ENVI-met outputs deviation from the experimental data. Journal of Building and Environment, 144, 129-141. https://doi.org/10.1016/j.buildenv.2018.08.013
- Matzarakis, A., Gangwisch, M., & Fröhlich, D., 2021. RayMan and SkyHelios model. Journal of Urban microclimate modelling for comfort and energy studies, 339-361. https://doi.org/10.1007/978-3-030-65421-4_16
- Meili, N., Burlando, P., Carmeliet, J., Chow, W. T. L., Coutts, A. M., Manoli, G., Roth, M., Velasco, E., Vivoni, E. R., & Fatichi, S., 2020. Radiation, evapotranspiration, and roughness effects of urban trees on local microclimate: A modelling study. Journal of The EGU General Assembly, 4339. https://doi.org/10.5194/EGUSPHERE-EGU2020-4339
- Middel, A., Huff, M., Krayenhoff, E. S., Udupa, A., & Schneider, F. A., 2023. PanoMRT: Panoramic infrared thermography to model human thermal exposure and comfort. Journal of Science of The Total Environment, 859, 160301. https://doi.org/10.1016/j.scitotenv.2022.160301
- Mihalakakou, G., Souliotis, M., Papadaki, M., Menounou, P., Dimopoulos, P., Kolokotsa, D., Paravantis, J. A., Tsangrassoulis, A., Panaras, G., Giannakopoulos, E., & Papaefthimiou, S., 2023. Green roofs as a nature-based solution for improving urban sustainability: Progress and perspectives. Journal of Renewable & Sustainable Energy Reviews, 180, 113306. https://doi.org/10.1016/j.rser.2023.113306
- Milosevic, D. D., Bajsanski, I. V, & Savic, S. M., 2017. Influence of changing trees locations on thermal comfort on street parking lot and footways. Journal of Urban Forestry & Urban Greening, 23, 113–124. http://doi.org/10.1016/j.ufug.2017.03.011
- Milošević, D., Dunjić, J., Stojsavljević, R., Žgela, M., Savić, S., & Arsenović, D., 2023. Analysis of long-and short-term biometeorological conditions in the Republic of Serbia. International Journal of Biometeorology, 67(6), 1105-1123. https://doi.org/10.1007/s00484-023-02482-8
- Morakinyo, T. E., & Lam, Y. F., 2016. Simulation study on the impact of tree-configuration, planting pattern and wind condition on street-canyon’s micro-climate and thermal comfort. Journal of Building and Environment, 103, 262–275. http://doi.org/10.1016/j.buildenv.2016.04.025
- Morakinyo, T. E., Kong, L., Lau, K. K. L., Yuan, C., & Ng, E., 2017. A study on the impact of shadow-cast and tree species on in-canyon and neighborhood’s thermal comfort. Journal of Building and Environment, 115, 1–17. http://doi.org/10.1016/j.buildenv.2017.01.005
- Morakinyo, T. E., Lau, K. K. L., Ren, C., & Ng, E., 2018. Performance of Hong Kong’s common trees species for outdoor temperature regulation, thermal comfort and energy saving. Journal of Building and Environment, 137, 157–170.http://doi.org/10.1016/j.buildenv.2018.04.012
- Nesshöver, C., Assmuth, T., Irvine, K. N., Rusch, G. M., Waylen, K. A., Delbaere, B., ... & Wittmer, H., 2017. The science, policy and practice of nature-based solutions: An interdisciplinary perspective. Journal of Science of the total environment, 579, 1215-1227. https://doi.org/10.1016/j.scitotenv.2016.11.106
- Ng, E., Chen, L., Wang, Y., & Yuan, C., 2012. A study on the cooling effects of greening in a high-density city: An experience from Hong Kong. Building and Journal of environment, 47, 256-271.
- Ottelé, M., & Perini, K., 2017. Comparative experimental approach to investigate the thermal behaviour of vertical greened façades of buildings. Journal of Ecological Engineering, 108, 152-161. https://doi.org/10.1016/j.ecoleng.2017.08.016
- Panzaru, M. D. R., Iojă, C. I., & NiȚĂ, A., 2020. Are Nature-Based Solutions A New Approach in Post-Industrial Regeneration Projects. Journal of Carpathian Journal of Earth and Environmental Sciences, 15(1), 179-188. 10.26471/cjees/2020/015/120
- Park, C. Y., Lee, D. K., Krayenho, E. S., Heo, H. K., & Hyun, J. H., 2019. Variations in pedestrian mean radiant temperature based on the spacing and size of street trees. Journal of Sustainable Cities and Society, 48, 1–9. http://doi.org/10.1016/j.scs.2019.101521
- Popa, A. M., Onose, D. A., Sandric, I. C., Dosiadis, E. A., Petropoulos, G. P., Gavrilidis, A. A., & Faka, A., 2022. Using GEOBIA and vegetation indices to assess small urban green areas in two climatic regions. Journal of Remote Sensing, 14(19), 4888. https://doi.org/10.3390/rs14194888
- Rahimi, A., & Nobar, Z., 2023. The impact of planting scenarios on agricultural productivity and thermal comfort in urban agriculture land (case study: Tabriz, Iran). Journal of Frontiers in Ecology and Evolution, 11, 1048092. https://doi.org/10.3389/fevo.2023.1048092.
- Randelović, A., Figueras, A., Seidelin, F., Briggs, L., & Stanić, F., 2023. Nature-based Solutions (NBS) at work and monitoring their performance-the innovative research case of the EU-funded project euPOLIS. In EGU General Assembly Conference Abstracts (pp. EGU-17063). 10.5194/egusphere-egu23-17063
- Raymond, C. M., Frantzeskaki, N., Kabisch, N., Berry, P., Breil, M., Nita, M. R., ... & Calfapietra, C., 2017. A framework for assessing and implementing the co-benefits of nature-based solutions in urban areas. Journal of Environmental science & policy, 77, 15-24. https://doi.org/10.1016/j.envsci.2017.07.008
- Ren, J., Yang, J., Zhang, Y., Xiao, X., Xia, J. C., Li, X., & Wang, S., 2022. Exploring thermal comfort of urban buildings based on local climate zones. Journal of Cleaner Production, 340, 130744. https://doi.org/10.1016/j.jclepro.2022.130744
- Ridha, S., Ginestet, S., & Lorente, S., 2018. Effect of the shadings pattern and greenery strategies on the outdoor thermal comfort. International Journal of Engineering and Technology, 10(2), 108-114. https://doi.org/10.7763/IJET.2018.V10.1043
- Russo, A., 2024. Urban Green Spaces and Healthy Living: A Landscape Architecture Perspective. Urban Science, 8(4), https://doi.org/10.3390/urbansci8040213
- Sanusi, R.,2022. Linking blue-green infrastructure to microclimate and human thermal comfort for urban cooling: a review. Tropical Forest Ecosystem Services in Improving Livelihoods For Local Communities, 127-154. . https://doi.org/10.1007/978-981-19-3342-4_8
- Sarabi, S., Frantzeskaki, N., Waldenberger, J., Alvarado, O., Raaimakers, D., Runhaar, H., ... & Vrînceanu, E.,2023. Renaturing cities: from utopias to contested realities and futures. Journal of Urban Forestry & Urban Greening, 86, 127999. https://doi.org/10.1016/j.ufug.2023.127999
- Schindler, B. Y., Blaustein, L., Vasl, A., Kadas, G. J., & Seifan, M., 2019. Cooling effect of Sedum sediforme and annual plants on green roofs in a Mediterranean climate. Journal of Urban Forestry & Urban Greening, 38, 392–396. https://doi.org/10.1016/j.ufug.2019.01.020
- Shashua-Bar, L., Tsiros, I. X., & Hoffman, M., 2012. Passive cooling design options to ameliorate thermal comfort in urban streets of a Mediterranean climate (Athens) under hot summer conditions. Journal of Building and environment, 57, 110-119. https://doi.org/10.1016/j.buildenv.2012.04.019
- Sinsel, T., Simon, H., Ouyang, W., dos Santos Gusson, C., Shinzato, P., & Bruse, M., 2022. Implementation and evaluation of mean radiant temperature schemes in the microclimate model ENVI-met. Journal of Urban Climate, 45, 101279. https://doi.org/10.1016/j.uclim.2022.101279
- Sodoudi, S., Zhang, H., Chi, X., Müller, F., & Li, H., 2018. The influence of spatial configuration of green areas on microclimate and thermal comfort. Journal of Urban Forestry & Urban Greening, 34, 85-96. https://doi.org/10.1016/j.ufug.2018.06.002
- Stoia, N. L., Niţă, M. R., Popa, A. M., & Iojă, I. C.,2022. The green walk—An analysis for evaluating the accessibility of urban green spaces. Journal of Urban forestry & urban greening, 75, 127685. https://doi.org/10.1016/j.ufug.2022.127685
- Turhan, C., Özbey, M. F., Çeter, A. E., & Akkurt, G. G.,2023. A novel data-driven model for the effect of mood state on thermal sensation. Journal of Buildings, 13(7), 1662. https://doi.org/10.3390/buildings13071662
- Unal, M., Uslu, C., Cilek, A., & Altunkasa, M. F., 2018. Microclimate analysis for street tree planting in hot and humid cities. Journal of Digital Landscape Architecture, 3, 34-42. https://doi.org/10.14627/537642004
- Velea, L., & Bojariu, R., 2018. Summer thermal discomfort conditions in Romania under climate change scenarios. Journal of Carpathians Journal of Earth and Environmental Sciences, 13(2). https://doi.org/10.26471/cjees/2018/013/050
- Victorino, G., Braga, R., & Lopes, C. M., 2017. The effect of topography on the spatial variability of grapevine vegetative and reproductive components. Actas Portuguesas de Horticultura, nº 29, p. 510-516.
- Wang, X., Huang, Y., Shi, L., Zhang, S., & Li, W. ,2024. Enhanced thermal performance of phase change mortar using multi-scale carbon-based materials. Journal of Building Engineering, 98, 111259. https://doi.org/10.1016/j.jobe.2024.111259
- Wu, Q., Huang, Y., Irga, P., Kumar, P., Li, W., Wei, W., ... & Zhou, J. L., 2024. Synergistic control of urban heat island and urban pollution island effects using green infrastructure. Journal of Environmental Management, 370, 122985.
- Yang, W., Lin, Y., & Li, C. Q. (2018). Effects of landscape design on urban microclimate and thermal comfort in tropical climate. Advances in Meteorology, 2018(1), 2809649. https://doi.org/10.1155/2018/2809649
- Yilmaz, S., Sezen, I., Irmak, M. A., & Külekçi, E. A.,2021. Analysis of outdoor thermal comfort and air pollution under the ınfluence of urban morphology in cold-climate cities: Erzurum/Turkey. Journal of Environmental Science and Pollution Research, 28, 64068-64083. https://doi.org/10.1007/s11356-021-14082-3
- Yin, H., Kong, F., Middel, A., Dronova, I., Xu, H., & James, P., 2017. Cooling effect of direct green façades during hot summer days: An observational study in Nanjing, China using TIR and 3DPC data. Journal of Building and Environment, 116, 195-206. https://doi.org/10.1016/j.buildenv.2017.02.020
- Zheng, Z., Dai, K., Zhou, X., Liu, J., Liu, W., Lu, J., & Fang, Z., 2023. Field investigation of thermal comfort with face masks in outdoor spaces in South China: A case study. Journal of Urban Climate, 51, 101632. https://doi.org/10.1016/j.uclim.2023.101632
- Zhang, Z., Zhang, Y., & Khan, A., 2019. Thermal comfort of people from two types of air-conditioned buildings-Evidences from chamber experiments. Journal of Building and Environment, 162, 106287. https://doi.org/10.1016/j.enbuild.2019.109727
- Zölch, T., Maderspacher, J., Wamsler, C., & Pauleit, S.,2016. Using green infrastructure for urban climate-proofing: An evaluation of heat mitigation measures at the micro-scale. Journal of Urban Forestry & Urban Greening, 20, 305-316. https://doi.org/10.1016/j.ufug.2016.09.011
